Elementary Algebra Practice Test 4

NO CALCULATORS! This practice exam should take approximately 90 minutes to complete. When you're finished, click "Grade the Test" at the bottom of this screen. This score has no effect on your grade in the course, and Mr. Flacche does not see the results of this practice test. It is only intended for your personal assessment of your skills.

**This is not a replica of the test you will see in class, and should not be your only study guide while preparing for the exam. Make sure to practice exercises from the text, workbook and Connect before taking the in-class test!**



1.
Compute.
   
A.
18
B.
4
C.
14
D.
4


2.
Evaluate –x2 + 7x 4 when x = – 1.
A.
12
B.
10
C.
2
D.
4


3.
Simplify the expression.
   
A.
B.
C.
D.


4.
Solve for x.    
  4x 7 = 3x
A.
7
B.
1
C.
7
D.
1


5.
Solve for x.   
 
A.
2
B.
1
C.
0
D.
-1


6.
Solve for x.
       
A.
6
B.
6
C.
48
D.
48


7.
Solve for x.    
  3x 2y = 6
A.
B.
C.
2 + 2y
D.


8.
Solve the inequality. Write your answer in interval notation.
   
A.
B.
C.
D.


9.
Mike is 2 years less than three times as old as his sister. The sum of their ages is 34. How old is Mike?
A.
9
B.
12
C.
25
D.
22


10.
The perimeter of a rectangle is 50 ft. If the length of the rectangle is 5 ft less than the width, find the dimensions of the rectangle.
A.
length: 30 ft, width: 20 ft
B.
length: 10 ft, width: 15 ft
C.
length: 20 ft, width: 30 ft
D.
length: 15 ft, width: 10 ft


11.
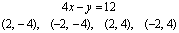
Which of the following is a solution for the equation?
   
A.
B.
C.
D.


12.
Identify the point plotted on the coordinate system and state the quadrant where the point is located.
   
A.
quadrant IV
B.
quadrant III
C.
quadrant III
D.
quadrant IV


13.
Which of the following best represents the graph of the equation?
   
A.

B.

C.

D.



14.
Which of the following best represents the graph of the equation?
   
A.

B.

C.

D.



15.
Use the slope formula to determine the slope of the line between the pair of points.
    and
A.
B.
C.
D.
m is undefined


16.
Solve the system.
A.
(2,5)
B.
(5,2)
C.
(1,8)
D.
(8,2)


17.
What is the degree of the polynomial?
  x12 5x4
A.
12
B.
5
C.
5
D.
4


18.
Write the number in scientific notation.
   71,200,000
A.
B.
C.
D.


19.
Add 5y – 4 and 2y2 – 8y.
A.
2y2 – 3y – 4
B.
2y2 + 3y – 4
C.
7y2 – 12y – 4
D.
2y2 + 13y – 4


20.
Subtract 4d2 – 8d + 5 from 7d2 + 4d – 8.
A.
3d2 – 4d – 3
B.
3d2 – 4d – 13
C.
3d2 + 12d – 13
D.
3d2 + 12d – 3


21.
Multiply.     (–2a5b3)(5a4b)
A.
3a9b3
B.
3a20b3
C.
–10a20b3
D.
–10a9b4


22.
Multiply.    
  (3x 1)(2x + 5)
A.
6x2 13x 5
B.
6x2 17x 5
C.
6x2 + 13x 5
D.
6x2 + 17x 5


23.
Multiply.    
  (5a 3b)2
A.
25a2 30ab + 9b2
B.
25a2 9b2
C.
25a2 30ab 9b2
D.
25a2 + 9b2


24.
Multiply.    
  (m 3n)(m + 3n)
A.
m2 6mn + 9n2
B.
m2 + 6mn 9n2
C.
m2 9n2
D.
m2 + 9n2


25.
Factor.
   
A.
B.
C.
D.
prime


26.
Factor.
   
A.
B.
C.
D.
prime


27.
Factor.
   
A.
B.
C.
D.
prime


28.
Find all solutions for the equation.
     
A.
B.
C.
D.


29.
Simplify.
     
A.
B.
C.
D.
cannot simplify


30.
Multiply.
     
A.
B.
C.
D.


31.
Multiply.
     
A.
B.
C.
D.
1


32.
Divide.
     
A.
B.
C.
D.


33.
Add.
     
A.
B.
C.
D.
1


34.
Add.
     
A.
B.
C.
D.


35.
Subtract.
     
A.
B.
C.
D.


36.
Subtract.
     
A.
B.
C.
D.


37.
Solve for x.
     
A.
0
B.
1
C.
2
D.
2


38.
Simplify.
     
A.
B.
C.
D.
9


39.
Simplify.
     
A.
B.
C.
D.


40.
Simplify the radical completely. Assume that the variable represents a positive real number.
   
A.
B.
C.
D.



STOP This is the end of the test. When you have completed all the questions and reviewed your answers, press the button below to grade the test.